令和7年11月末現在の発生状況
被害の認知件数
| 手口 | 令和7年11月末 件数(件) |
令和6年11月末 件数(件) |
前年同期比 | |||
|---|---|---|---|---|---|---|
| 特殊詐欺 | オレオレ詐欺 | 594 | 420 | +174 | ||
| 預貯金詐欺 | 121 | 143 | -22 | |||
| 架空料金請求詐欺 | 121 | 70 | +51 | |||
| 還付金詐欺 | 134 | 157 | -23 | |||
| 融資保証金詐欺 | 6 | 7 | -1 | |||
| 金融商品詐欺 | 11 | 7 | +4 | |||
| ギャンブル詐欺 | 2 | 0 | +2 | |||
| 交際あっせん詐欺 | 16 | 1 | +15 | |||
| その他の特殊詐欺 | 0 | 0 | ±0 | |||
| キャッシュカード詐欺盗 | 86 | 42 | +44 | |||
| 計 | 1,091 | 847 | +244 | |||
赤字は増加を示す。
被害総額
| 手口 | 令和7年11月末 被害総額(円) |
令和6年11月末 被害総額(円) |
前年同期比 | |||
|---|---|---|---|---|---|---|
| 特殊詐欺 | オレオレ詐欺 | 4,810,631,570 | 2,466,514,323 | +2,344,117,247 | ||
| 預貯金詐欺 | 156,304,000 | 163,592,000 | -7,288,000 | |||
| 架空料金請求詐欺 | 649,255,566 | 505,249,093 | +144,006,473 | |||
| 還付金詐欺 | 330,378,027 | 239,935,806 | +90,442,221 | |||
| 融資保証金詐欺 | 4,423,264 | 7,350,683 | -2,927,419 | |||
| 金融商品詐欺 | 265,421,096 | 291,483,290 | -26,062,194 | |||
| ギャンブル詐欺 | 4,480,000 | 0 | +4,480,000 | |||
| 交際あっせん詐欺 | 106,926,260 | 5,735,000 | +101,191,260 | |||
| その他の特殊詐欺 | 0 | 0 | ±0 | |||
| キャッシュカード詐欺盗 | 91,288,000 | 60,631,200 | +30,656,800 | |||
| 計 | 6,419,107,783 | 3,740,491,395 | +2,678,616,388 | |||
赤字は増加を示す。
認知件数・被害金額の推移

年別認知件数・被害金額の推移

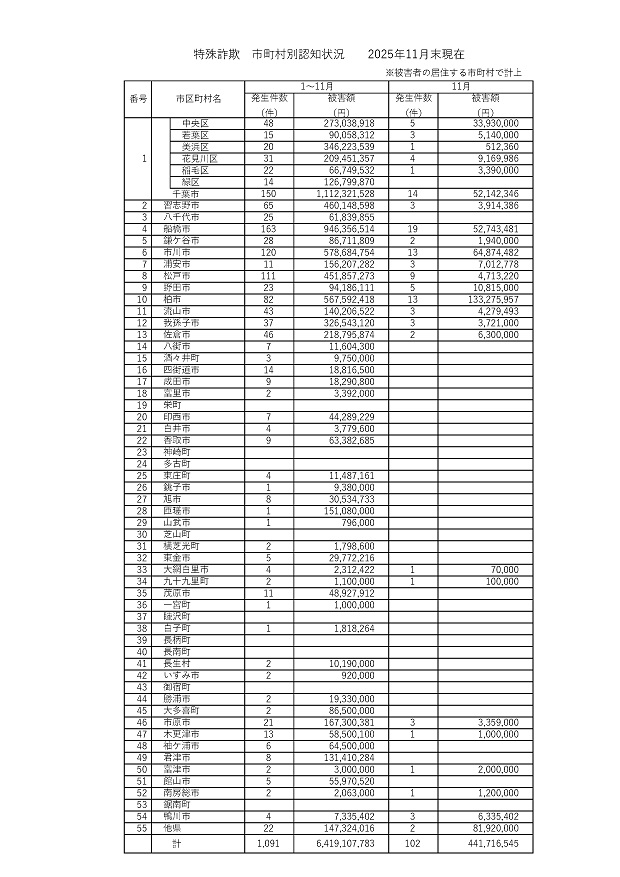
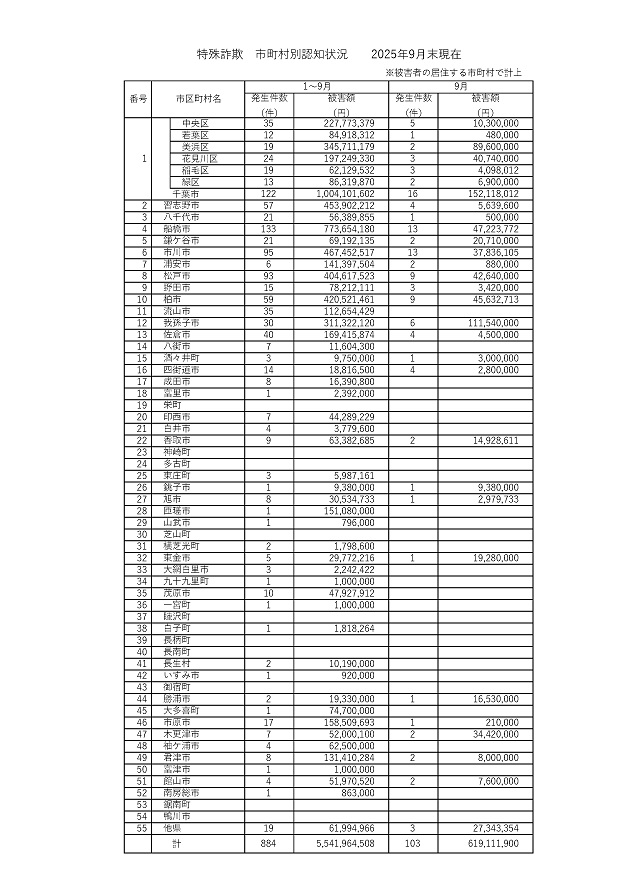
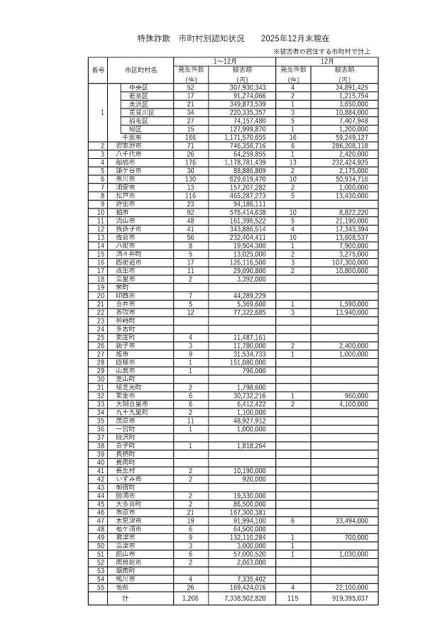
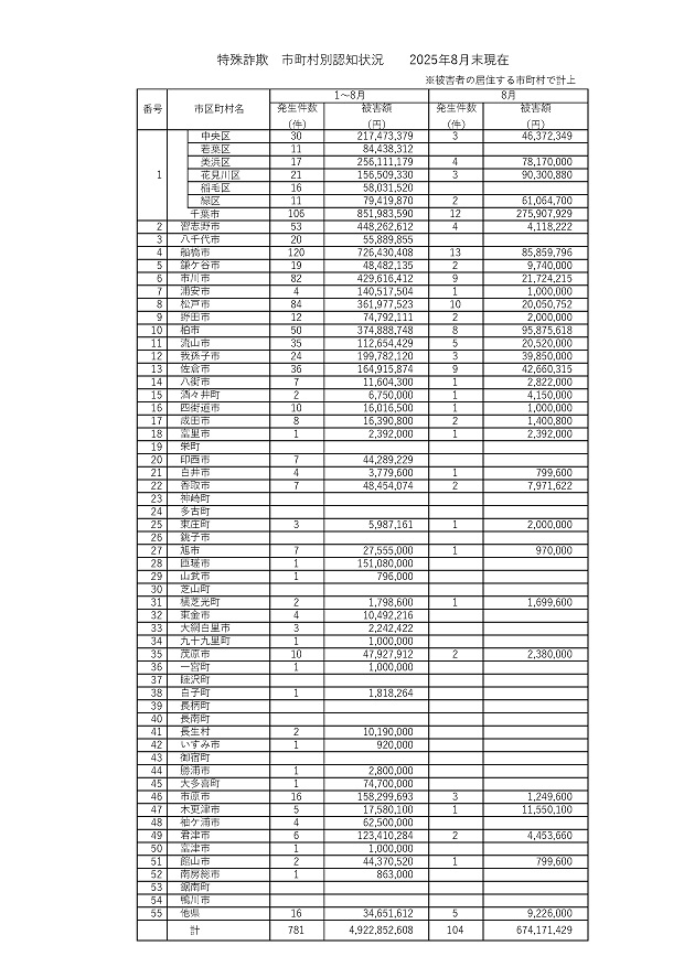
警察署別・市町村別認知状況
令和7年11月末

令和6年中
令和7年11月末
令和6年中

被害者の年齢構成
令和7年11月末

令和6年中

| お問い合わせ |
| 千葉県警察本部 生活安全総務課 電話番号:043-201-0110 (警察本部代表) |




PDFファイルをご覧になるにはAdobe Readerが必要です。